Advertise Here
Contact us.
Review #: 1718993786    By: Topbodz
Posted on:




The January 2020, Injunction
For Protection Against Sexual Violence.


Now, for the good and the bad part of this injunction. The bad part is that the injunction is full of fabricated, false accusations. Allegations that are so farfetched, against Yolanda & I. I will list these in the next paragraph. The good part is that since these allegations are all exagerated lies, I can secure a good lawyer and fight their false accusations and then prosecute them for perjury and seek the monetary damages, that we have suffered. I had previously warned them about making false accusations, as I could see it coming. I guess they just don't understand the consequences of lying under oath; in court. Althought, from what Yolanda & I have witnessed, they have literally lied through their teeth under oath, and so far nothing has happened as a result of it. This whole swearing in, under oath thing, is a total joke; people lie. Fortunately, we can prove that they were lying.

What I need to mention about this horrific list of accustions that you are about to read, is that; Since they moved out in August 2019, there was plenty of opportunities to file this type of injunction, but apparently none of these accusations were ever brought up until that day of January 13th, 2020. However, becuase they were really angry at themselves for surrendering the car, in September 2019, and the fact that I posted a notice on their front door to pay or got to court on Jan, 13th 2020, that was enough torment for them to file that injunction on that very same afternoon; at 3:40pm. All of a sudden, and in haste, they fabricated all these really farfetched, false accusations and filed this injunction. Now, given that Dog Face does not speak English, and her husband is an ignorant moron, and doesn't speak English either, someone had to help them file this restraint order. I don't know who, but someone did. The injunction shows the father as the responsible party, filing on behalf of his underaged daughter, yet his signature is nowhere to be found on either of the injunctions; Yolanda's or mine. Dianelys, is the one who signed —just initialed— the injunctions.

My assumption here —I would bet my life on it— is that the whole idea and the fabrication of all the accusations, came from the wicked, EVIL witch. That was affirmend when we were listening in on their deposition and the lawyer asked Lazaro, "why did you implicate Yolanda in this"? His response was "well, I didn't want to, but my wife did. It was all her idea, I don't really know much about it". Their motive? Well, after they surrendered the car, I was told by a neighbor that she had to take the bus to work, and that he rode a bicycle to work. Then, there was the website with this story, —which is growing by the day— that I had translated in Spanish and invited all their relatives to see how EVIL, these people really were. And finally, I kept threatening to take him to court if he didn't pay me. So, I can see how they would seek revenge. HOWEVER, most of their angst was brought on by their own stupidity. The hasty witch is the one that surrendered the car. They had 10 more days to scrape up a loan payment, before I could contractually demand the car. And, I wanted to take him to court to get paid back on the $2,000 loan that I had given him in good faith. I even had to refinaced the stupid loan for him, to lower his payments. We were not bothering them at all, other than trying to get my money back.

That, in part, was their motive for filing this frivilous restraint order. They —mostly the EVIL witch— were out for the ultimate revenge. And, I would bet, that whoever help them file that order, is also the one who encouraged them to do so. Someone pretty clever, but as wicked, EVIL and malicious as Dog Face, thinking that these vague & baseless accusation —many of them do not constitute sexual violence— would at the very least cost us $thousands of dollars in legal fees, —which, it has— as well as disrupt our relatively peaceful life, once again. That, was their co-conspirator's thinking. However, in the witch's mind, either because of the way they do things in Cuba —they put people in jail just for protesting— or by watching child abusers get thrown in jail here, on the local news, she was probably certain that these severe accusations would land us both in jail. That was, and still is today, her ultimate goal.



At this point since they have poisoned little Yoly's heart and brainwashed her against us and we keep confronting them for what they owe us, for all the false accusations, and for the malicious treatments we are subjected to by them, yes I would imagine that Yoly doesn't like us so much for showing how evil and malicious her parents are. They are manipulating this poor kid for their own revenge. It is very likely that she would say whatever her mother tells her to say.

The Accusations; for Mark
1) The petitioner's father states that on 01/13/2020 in the morning the petitioner was home alone, the respondent showed and banged hard on the door. The petitioner looked through the window and saw it was the respondent and he was leaving. The petitioner was scared and called her father and he dialed 911. Miami PD arrived and spoke to the petitioner. They had no case number to prove the call to the police.

2) The petitioner's father states that on in December of 2019 the respondent reached out to a teenage friend of the petitioner asking about the petitioner. The petitioner's friend asked the petitioner what she should respond and the petitioner said "Don't respond he's a bad man"

3) The petitioner's father states that in November of 2019 Hollywood Police picked up the petitioner's phone that had evidence of nude pictures and inappropriate messages that the respondent had sent to the petitioner. The petitioner's parents reported the incident to the police on October 5, 2019.

4) The petitioner's father states that in late July of 2019 he and his wife arrived home from work to find the petitioner in the bathroom screaming at the respondent who had gone into the bathroom with his ex wife to see if the petitioner knew how to properly shower. The petitioner was yelling "Get out, get out"

5) The petitioner's father states that in June of 2019 the family was taking a trip to Cuba, at the airport the petitioner asked her mother if it was ok to kiss the respondent on the lips. The petitioner told her mother that the respondent had asked for one as he was going to give her travelling money. The petitioner's mother told the petitioner it was not OK.

6) The petitioner's father further states that upon arrival in Cuba, the petitioner confided in her older sister that the respondent had been acting inappropriately with her since 2018. The petitioner also told her sister that the respondent had forced her to watch pornography.

7) The petitioner's father further states that when they returned from Cuba and made arrangements for someone else to help care for the petitioner the respondent became enraged.

8) The petitioner's father states that they as a family were living with the petitioner's father's cousin and the respondent was always in and out of that house

9) The petitioner's father states that there were multiple occasions where the respondent touched the petitioner in her private areas and the petitioner was terrified to tell her parents as the petitioner's father's cousin told her if you tell you will be all living on the streets.

10) The petitioner's father states that the respondent has created social media pages on Facebook & Instagram dedicated to the petitioner with hundreds of pictures the respondent has taken of the petitioner without anyone's consent.

11) The petitioner's father further states that the respondent has made sexual comments referring to the petitioner on those pages as well.

12) The petitioner's father states that the petitioner is afraid of the respondent and they are seeking intervention of the courts to keep the respondent away from the petitioner and from committing further acts of violence.



There were 5 similar accusations on a seperate restraining order for Yolanda. She did not want me to publish her accusations. However since they were so much more rediculous & farfetched than mine. I decided to publish them anyway. The world need to see how EVIL these chronic liars are.



The Accusations; for Yolanda

1)The petitioner's father states that on December 22, 2019 the respondent called him inquiring about the petitioner as the petitioner's phone is blocked from the respondent and her ex-husband. The respondent told the petitioner's father that they wanted to see the petitioner that they had presents for her. The petitioner's father said NO, you will not see the petitioner, she does not want to see you. The petitioner's father states that the respondent said "if you want us to stop harassing you then let us see the petitioner. The petitioner's parents reported this to the Hollywood Police.

2)The petitioner's father states that in June of 2019 the respondent was at home with her ex-husband and the petitioner. The petitioner's father states that the respondent insisted that the petitioner was a pornographic movie about masturbation with the respondent and the respondent's ex-husband. The petitioner's father further states that after a while the respondent walked out & left the petitioner, who was in her care; alone witht he respondent's ex-husband and went to sleep out in the living room placing the petitioner in danger. The petitioner ran out to her parents's bedroom in fear that the respondent's ex-husband would touch her.

3)The petitioner's father further states that the respondent is obsessed with the petitioner. The petitioner also states that the respondent had cameras installed and would constantly watch the petitioner through the cameras.

4)The petitioner's father states that the petitioner says that the respondent would attempt to impose the respondent's ex-husband on the petitioner. The petitioner's father states that the petitioner said that the respondent told her she needed to make the respondent's ex-husband feel special. The petitioner's father states that this made the petitioner feel very uncomfortable. The petitioner's father states that if the petitioner showed affection to the respondent, the respondent would them make the petitioner show affection to the respondent's ex-husband as well.

5) The petitioner's father states that the petitonner is afraid of the respondent and is seeking the intervention of the court to keep the respondent away from her and from committing further acts of violence.


Well, there you have it. But, anyone can write allegations like I did. So below are the actual allegations on the injunction itself, so that you can see that they are in fact real & accurate. Click on the links below.

Mark's Accusations
Yolanda's Accusations


But..there's more! Surely, you want to see what our rebuttals are to these ridiculous claims. All of these are fabricated lies and all of the dates in the accusations, are wrong. So, below is our side of the story, as it happened.

Mark's Accusations Rebuttal
Yolanda's Accusations Rebuttal


You may also want to see the fake texts that I mentioned previously. It's just unbelievable to what extent that wicked witch will go to fabricate events that never happened. In the second fake text for example; Yolanda called lazaro on Dec 10th, to see if we could see little Yoly for 5 minutes with them present. He responded that he was working 2 jobs and only had Tuesdays off, that he would call her back and let her know. That was the whole conversation. So my question is; how the hell, does that relate to little Yoly not being able to concentrate in class and to be afraid of what might happen. The exageration is so obvious. This woman is really disturbed.

First fake text
Second fake text

Well, now that you've gotten a eyefull, let's move on to the experience of the court proceedings.



NEW UPDATES AS OF March 25th, 2020

On February 3, 2020 at 2:00pm we were at the Dade County court house where we sat for nearly 2 hours before we were able to proceed to the court room. We had to go in seperately, first my lawyer and myself, then the lawyer and Yolanda. At this hearing we asked for a continuance as the lawyer had not had enough time to review our case and all of our defense material. We also wanted to depose the bozo and his psychopath wife. So we were given a new court date, for February 24th 2020 at 2:30pm.

Our lawyer had set a deposition date of February 20, 2020 at 1:00pm for Dog Face and 2:00pm for the bozo. They were served by the Lightening Legal Courriers on 2/14/2020. On the 19th, Dianelys called and said she wanted to cancel. She claimed she wanted to consult with her lawyer. Again, she's full of shit! They can't afford a lawyer. And, anyways they had a whole week to talk to their lawyer; that they didn't have. Our lawyer told us that Dianelys, said that she would call her back to confirm that day; but she did not. On the 20th, she did not show up. Our laywer called the bozo and he said he was not coming either because the judge didn't tell him to. What a Moron! So this "No Show" Deposition cost us Over $700 just because they did not want to come. They were jerking us off. But, at the same time, it was our lawyer's fault as well for not confirming with her, wether she would show up or not. She could have cancelled the court reporter, the videographer, and the translator. Our lawyer (Stephanie Morrow) was such a douche bag. I do have a special page for her. I will direct you to it shortly.

On February 24, 2020 at 2:30pm again we sat for nearly 2 1/2 hours in the court lobby, before entering the courtroom. What a nightmare. This time the bozo was there with some latin lawyer —don't know where he got her from— to represent him. He needed someone to speak for him, as he had no clue about the case. It seems it was on a free trial basis representation. She was arrogant and wanted to put little Yoly on the stand. Good, I demanded that we be able to depose little Yoly. The judge was concerned that Yoly was a minor and the impact it may have on her to take the stand. So, we needed a new court date for the judge to decide if she would allow her to testify and wether she would allow us to depose her. Anyway, we never saw that lawyer again. While in the courtroom, our laywer demanded that the Judge     —who would not award us the deposition costs— to set a new deposition date, for him & her; she did. That date was March 9th, 2020 at 1:30pm. They also set a new court date for April 2, 2020 at 2:30pm. I swear, judges seem so partial to these people.

March 9th, 2020. Well, would you believe it? Yolanda had the wrong date; March 10th. So, on the 9th, the secretary called to see if we were coming. Yolanda was at work and I was workign on my condo. There was not enought time for me to get there in time. Actually, I could have made it since the translator was an hour late. We were conferenced in on the phone and listened in on the deposition. That deposition was such a joke. The lawyer would ask questions and he would ramble on about other subjects. She asked him where he lived; he did not know. He only knows how to get there. She asked him what his daughter's birthday was; he did not know that either. She asked him about the notice that I put on the door. He said it was in English and he didn't understand it. The notice was in Spanish, and in English. She asked him to go get his copy of it from his wife, —wasting more valuable time— and read it to her. He had difficulty doing so. See it below.



Click to Enlarge
NOTICE - AVISO


The whole deposition was a disaster. The translator was an hour late, and she was not translating accurately, according to Yolanda. So, it started at 3:30, ended at 6:30. The lawyer was not asking relevant questions, they were lying like hell, rambling on about other subjects; mostly that they just wanted to be left alone. Our lawyer who seemed really inept at her calling, wasted over an hour with the bozo, who doesn't know where he lives, until she finally realized that they were just going around in circles. Then she moved on to the witch, where we heard more lies yet. At the end of the day with extra charges from the court reporter for running past 5:00pm, the bill for that deposition was almost $1100.00. And, the worst part is; The lawyer told us that the deposition was not worth the cost of a transcript, as there was no useable testimony. The whole deposition was nothing but the same fabricated lies, and rambling on. Is that a joke or what?

April 2, 2020. Well, this time we sat around in the court lobby for about 3 hours, before we got into the court room. By then it was late; aroud 5:30pm, so the judge reset the court date to April 30th at 10:00am because this was not going to be a 15 minute trial. So again we had to stay an extra 1/2 hour or so for the sheriff to prepare new court summons for us with new temporary injunction for the next court date. Great! Just Fuc**&*ing Great! We went there just to sit in the lobby for 3 hours, and be rescheduled for another day. Little did we know at that time that these lobby hours would be billed at $400.00 @ hour, when we later fired that lawyer because of our experience with the 2 previous depositions. More on her a little later..

April 30, 2020. A few weeks before our scheduled court date, we were advised by our lawyer that the April 30th court session would be done remotely via Zoom, due to the Corona Virus. All the courts were closed. However it did not look like it was going to happen as scheduled. Three days before that date we decided to fire this really incompetent lawyer that we had paid $8,000 upfront. I thought that we had paid a shitload of money for a lawyer that was arrogant, negligent, had no clue on deposing people, didn't respond to emails in a timely manner and couldn't even speak Spanish well; which was one of the main reasons I had hired her. We just did not feel confident that she would get us exonerated from those severe charges. Although as we proceeded, she did mention to Yolanda that she would most likely get her vindicated, but did not feel that confident about me. I feel that she did not believe in my innocense. As such, because of her total lack of communications with us, the first "No Show" deposition at a cost of over $700, and the second deposition billed at over $1000, that had no usable testimony, and the fact that we still had not received the video file from the deposition that took place on April 9th, I thought she was doing more harm than good. She really needed to GO!

Altimately, we did find a new lawyer who was excellent, and retained him at a cost of $6,000. He spoke Spanish fluently, so he could communicate with the petitioner without the need for a translator. I was very confident that he would get the job done. He contacted the courts to reset the date in mid June or so. The previous lawyer, Stephanie Morrow, had not responded to my last email sent 5 days prior, to notify the court that she had been terminated. It was apparent that I would have to get an attorney to sue her for malpractice to recoup some of our exorbitant prepaid legal fees and to obtain the deposition video, as there was some testimony that showed how these charges were all, fabricated lies. As of now, nearly 2 years later, we never did get that video. It would have cost us around $2500. just to see them lie on camera. We decided to let National Reporter Service, shove that video where the sun doesn't shine. You can see more details about the court reporter, as part of;
See Stephanie Morrow's story here.


From then on, we had many in person conferences with our new lawyer; Daniel Izquierdo. I thought he was a really nice guy and communicated with us freely, anytime we needed him; unlike that previous Lawyer From Hell. We brought him all of our evidence, and he clearly understood all the BS charges we were facing. However, he was as confident as I was, that we could beat this. At one point during our engagement, his dad passed away. Bummer! He took a few weeks off to take care of his family matters; we absolutely understood. So, we attended many Zoom Status Sessions, where the judge was considering allowing us to depose little Yoly, whether she would allow her to take the stand or not, and having a psychologist determine her suitability to testify... etc. And then, we brought up the issue of little Yoly being coersed into lying under oath, to solidify their case. The judge ultimately denied us the motion to depose her. As such, we did not want her on the stand, specially in a Zoom court, citing that her mother could hide behind the monitor, and tell her what to say. From there, status meetings went on and on. I believe we had a Zoom Status Session every month. In all, we had 11 court sessions.


NEW UPDATES ON NOVEMBER 23, 2020

In the interim of all the zoom sessions, Daniel had mention the possibility of talking with them to see what it would take, to drop the charges. We agreed to give that a shot, as we had nothing to loose. Anyway, I was not at all afraid, of going to trial on these bogus charges. This latest developement in Daniel's strategy had been mentioned to the judge, at the previous Status Meeting. We were now at yet another Zoom Status Meeting; Nov. 23rd, 2020 at 2:00pm. In this session the judge showed empathy for our lawyer's dad, passing away. She also reiterated that it woud be great if a pre-trial settlement to this injunction could be reached. Although at this status, Lazaro was complaining that all these status hearings were not his fault and that it was taking a long time to settle, giving us the impression that they didn't want to go to court after all. Needless to say, it was his fault. He and his demented wife brought on this injunction hoping to put us in jail. That, didn't work however, as the worst case scenario would have been a "permanant" injunction. Still, we didn't want the implications that come with Sexual Violence rulings. The judge set a date of January 22nd, 2021 where she absolutely wanted to hear this case. It had been dragged out way too long; just short of a year. We were schedule for a last status hearing on January 15th, 2021 to confirm wether we were able to resolve the injunction, or were going to court.

In the interim, I made a page of images of Yolanda & I spending time together with little Yoly in the last 14 months. Most of the images are dated to show the various days that we all had fun times together...

See that page here


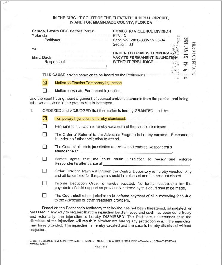
NEW UPDATES ON January 15, 2021

Well, today was a bit of a historical day for us. We had a status meeting to prepare for a court date scheduled for the following week on January 22, 2021. Fortunately —but not necessarily so— the petitioners agreed to drop all charges against us. Don't really know what motivated them to do so. If it were my daughter and someone had done the horrible things that we were accused of, I would definitely be going to court to hang that someone. However, since all these accusations were fabricated lies, maybe it finally dawned on them that our lawyer would prove them to be lying and that the whole injunction would in turn, bite them in the ass; which it will. As I am consulting with the state attorney to prosecute them for purjury in this case and for the Sunpass fraud; which is discussed in the updates.

As part of our settlement agreement, I did not let them take advantage of us, as I was still up to fight the charges. I even pretty much dictated the terms and the verbage used in the agreement. My stipulations were:

  • 1) I would not forfeit the loan balance owed.
  • 2) I would NOT agree to remove "The Family Fron Hell" story or any part thereof from my website.
  • 3) I would refrain from publishing photo of Yoly on only five Social Media sites.
  • 4) I could communicate freely with little Yoly if she contacted me.
  • 5) The agreement would expire on little Yoly's 18th birthday.

See the agreement here

It's also worth mentioning that they had stopped paying me for the $2000 loan in the midst of thess hearings. They have not paid since November 2020 and still owe me over $1000. We will be going to court again to collect this money owed. We will also be going to court on Yolanda's behalf to collect moneys owed to her. Approximately $2500. But that's another story. It will be listed in the Updates Page.


All and all, I was never afraid of going to court. I had nothing to hide as we never did those horrible things that they accused us of. The good part of droping the injunction was that on that day, the injunction was terminated; gone for ever! This means that I can purchase fire arms if I want, that Yolanda could foster or adopt a child if she wanted, —although she & I have since lost interest in that— and that we will not have to register as sexual predators. It also facilitate our case in showing that these vindictive peoples fabricated malicious lies to hopefully prosecute them.

So, keep cheking in to see our progress as we navigate through the court systems and try to put them in jail, for their actions.



Click on Image to Enlarge


So, while the injunction has been closed, we are definitely not done. I have been trying to prosecute them through the State Attorney's Office, but that is proving to be totally useless. I was working with one of the Attorney's assitant; Dennis Siegel. I sent him a bunch of documents, & evindence ...etc, but he is not persuing the case at all. I don't even get email response from him. While making inquiries at the Florida Bar's volunteer attorneys Questions & answers, it was suggested that I sue him for Malicious Prosecution, where I can ask for damages; monies we spent on attorneys to fight their frivilous injunction. That is what I am currently working on. There's no doubt in my mind that, this case will have its own page as well, as this type of case seems pretty complex, and I can just see the adventure I am embarking on. Oh Boy!

Also, I am still waiting on a ruling for the Small Claims Court case where I am suing him for payment on the $2,000 Cuba loan. At the last hearing, the judge got annoyed with Lazaro, and ended the trial, saying that she would notify us of her ruling by mail. 31 day later, I emailed her asking when I could expect a ruling. Her response was "Up to 60 days" so we are at day 34 today, as I update this page. You can bet your bootie that there will be a story about that case, which was filed on July 26th, 2021 and is still not closed; much less collected. I have a whole lot to say about the kinks & twists of this trial.

If you have left the Updates Page to read this page, click the link below to return and continue with Updates.

Return to the Updates Page






HOME   ||   Register   ||   Post   ||   Help  ||   Contact us  ||   Advertising

Copyright 2007 badbusinessreport.com - All Rights Reserved.
Use of this Web site constitutes acceptance of the User Agreement and Privacy Policy.